Solve the system: 2x+3y+6z=2
-x+y+z=0
I tried by the equation 
Please help me solve it..
This system has more unknowns than equations, so it is labeled an
"under-determined system", so it has infinitely many solutions.
The coefficient matrix is not a square matrix, thus it has no
inverse. If you've studied left-inverse and right-inverses,
you may be able to get the general solution for the infinite
set of solutions that way, but you can get that easier just by
ordinary methods:
Multiply 2nd equation by 2
Add them
Substitute in
There are infinitely many solutions. Just substitute arbitrary
values for z in the expressions above. Here, I'll set up a
computer program to generate some of them:
If you choose z=-21, then substituting,
Also,
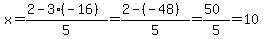
If you choose z=-16, then substituting,
Also,
If you choose z=-11, then substituting,
Also,
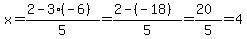
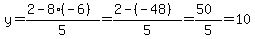
If you choose z=-6, then substituting,
Also,
If you choose z=-1, then substituting,
Also,
If you choose z=4, then substituting,
Also,
If you choose z=9, then substituting,
Also,
If you choose z=14, then substituting,
Also,
If you choose z=19, then substituting,
Also,
I chose those value because they give integer solutions, however,
you can get fractional solutions by choosing other values for z.
Edwin