Question 927906: 11x^2+17y^2+484x+442y+7636=0
Identify if the equation is a hyperbola, parabola, or ellipse and label the center point, vertex points, focus points, asymptote equations, a length, b length, and c length, and the transverse axis.
Answer by MathLover1(20850) (Show Source):
You can put this solution on YOUR website!
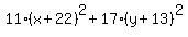
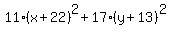
.............complete square
ellipse
center is at ( , )
..=>.. semimajor axis length
..=>.. semiminor axis length
foci | (( , ) | ( , )),approx.(( , ) | ( , ))
vertices | (( , ) | ( , )),approx.(( , ) | ( , ))
focal parameter | , approx. 
eccentricity | ,approx.
|
|
|