Question 881850: How do you find the perimeter of the polygon with vertices at (1, 3), (7, 3), (7, 7), and (4, 7).
Answer by Fombitz(32388) (Show Source):
You can put this solution on YOUR website! 
From (1,3) to (7,3) is 6 units.
From (7,3) to (7,7) is 4 units.
From (7,7) to (4,7) is 3 units.
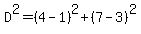
You need to calculate the distance from (4,7) to (1,3).
Use the distance formula,





So then the perimeter is just the sum of all of these lengths,

|
|
|