SOLUTION: I need help with this question: use synthetic division to find the polynomial which is not a factor of x^3+2x^2-9x-18. (x+2)(x-2)(x-3)(x+3)

Algebra ->  Polynomials-and-rational-expressions -> SOLUTION: I need help with this question: use synthetic division to find the polynomial which is not a factor of x^3+2x^2-9x-18. (x+2)(x-2)(x-3)(x+3)      Log On


   



Question 86300: I need help with this question: use synthetic division to find the polynomial which is not a factor of x^3+2x^2-9x-18. (x+2)(x-2)(x-3)(x+3)
Answer by jim_thompson5910(35256) About Me  (Show Source):
You can put this solution on YOUR website!
Lets test the factor x%2B2



Start with the given polynomial %28x%5E3+%2B+2x%5E2+-+9x+-+18%29%2F%28x%2B2%29

First lets find our test zero:

x%2B2=0 Set the denominator x%2B2 equal to zero
x=-2 Solve for x.

so our test zero is -2


Now set up the synthetic division table by placing the test zero in the upper left corner and placing the coefficients of the numerator to the right of the test zero.
-2|12-9-18
|

Start by bringing down the leading coefficient (it is the coefficient with the highest exponent which is 1)
-2|12-9-18
|
1

Multiply -2 by 1 and place the product (which is -2) right underneath the second coefficient (which is 2)
-2|12-9-18
|-2
1

Add -2 and 2 to get 0. Place the sum right underneath -2.
-2|12-9-18
|-2
10

Multiply -2 by 0 and place the product (which is 0) right underneath the third coefficient (which is -9)
-2|12-9-18
|-20
10

Add 0 and -9 to get -9. Place the sum right underneath 0.
-2|12-9-18
|-20
10-9

Multiply -2 by -9 and place the product (which is 18) right underneath the fourth coefficient (which is -18)
-2|12-9-18
|-2018
10-9

Add 18 and -18 to get 0. Place the sum right underneath 18.
-2|12-9-18
|-2018
10-90

Since the last column adds to zero, we have a remainder of zero. This means x%2B2 is a factor of x%5E3+%2B+2x%5E2+-+9x+-+18

Now lets look at the bottom row of coefficients:

The first 3 coefficients (1,0,-9) form the quotient

x%5E2+-+9


So %28x%5E3+%2B+2x%5E2+-+9x+-+18%29%2F%28x%2B2%29=x%5E2+-+9

----------------------------------------------------------------------
Lets test the factor x-2


Start with the given polynomial %28x%5E3+%2B+2x%5E2+-+9x+-+18%29%2F%28x-2%29

First lets find our test zero:

x-2=0 Set the denominator x-2 equal to zero
x=2 Solve for x.

so our test zero is 2


Now set up the synthetic division table by placing the test zero in the upper left corner and placing the coefficients of the numerator to the right of the test zero.
2|12-9-18
|

Start by bringing down the leading coefficient (it is the coefficient with the highest exponent which is 1)
2|12-9-18
|
1

Multiply 2 by 1 and place the product (which is 2) right underneath the second coefficient (which is 2)
2|12-9-18
|2
1

Add 2 and 2 to get 4. Place the sum right underneath 2.
2|12-9-18
|2
14

Multiply 2 by 4 and place the product (which is 8) right underneath the third coefficient (which is -9)
2|12-9-18
|28
14

Add 8 and -9 to get -1. Place the sum right underneath 8.
2|12-9-18
|28
14-1

Multiply 2 by -1 and place the product (which is -2) right underneath the fourth coefficient (which is -18)
2|12-9-18
|28-2
14-1

Add -2 and -18 to get -20. Place the sum right underneath -2.
2|12-9-18
|28-2
14-1-20

Since the last column adds to -20, we have a remainder of -20. This means x-2 is a not factor of x%5E3+%2B+2x%5E2+-+9x+-+18
Now lets look at the bottom row of coefficients:

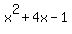
The first 3 coefficients (1,4,-1) form the quotient

x%5E2+%2B+4x+-+1

and the last coefficient -20, is the remainder, which is placed over x-2 like this

-20%2F%28x-2%29
Putting this altogether, we get:

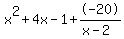
x%5E2+%2B+4x+-+1%2B-20%2F%28x-2%29

So %28x%5E3+%2B+2x%5E2+-+9x+-+18%29%2F%28x-2%29=x%5E2+%2B+4x+-+1%2B-20%2F%28x-2%29

which looks like this in remainder form:
%28x%5E3+%2B+2x%5E2+-+9x+-+18%29%2F%28x-2%29=x%5E2+%2B+4x+-+1 remainder -20

So the expression x-2 is not a factor of x%5E3+%2B+2x%5E2+-+9x+-+18. This means the answer is x-2
----------------------------------------------------------------------
Lets test the factor x-3


Start with the given polynomial %28x%5E3+%2B+2x%5E2+-+9x+-+18%29%2F%28x-3%29

First lets find our test zero:

x-3=0 Set the denominator x-3 equal to zero
x=3 Solve for x.

so our test zero is 3


Now set up the synthetic division table by placing the test zero in the upper left corner and placing the coefficients of the numerator to the right of the test zero.
3|12-9-18
|

Start by bringing down the leading coefficient (it is the coefficient with the highest exponent which is 1)
3|12-9-18
|
1

Multiply 3 by 1 and place the product (which is 3) right underneath the second coefficient (which is 2)
3|12-9-18
|3
1

Add 3 and 2 to get 5. Place the sum right underneath 3.
3|12-9-18
|3
15

Multiply 3 by 5 and place the product (which is 15) right underneath the third coefficient (which is -9)
3|12-9-18
|315
15

Add 15 and -9 to get 6. Place the sum right underneath 15.
3|12-9-18
|315
156

Multiply 3 by 6 and place the product (which is 18) right underneath the fourth coefficient (which is -18)
3|12-9-18
|31518
156

Add 18 and -18 to get 0. Place the sum right underneath 18.
3|12-9-18
|31518
1560

Since the last column adds to zero, we have a remainder of zero. This means x-3 is a factor of x%5E3+%2B+2x%5E2+-+9x+-+18

Now lets look at the bottom row of coefficients:

The first 3 coefficients (1,5,6) form the quotient

x%5E2+%2B+5x+%2B+6


So %28x%5E3+%2B+2x%5E2+-+9x+-+18%29%2F%28x-3%29=x%5E2+%2B+5x+%2B+6

-----------------------------------------------------------------
Lets test the factor x%2B3

Start with the given polynomial %28x%5E3+%2B+2x%5E2+-+9x+-+18%29%2F%28x%2B3%29

First lets find our test zero:

x%2B3=0 Set the denominator x%2B3 equal to zero
x=-3 Solve for x.

so our test zero is -3


Now set up the synthetic division table by placing the test zero in the upper left corner and placing the coefficients of the numerator to the right of the test zero.
-3|12-9-18
|

Start by bringing down the leading coefficient (it is the coefficient with the highest exponent which is 1)
-3|12-9-18
|
1

Multiply -3 by 1 and place the product (which is -3) right underneath the second coefficient (which is 2)
-3|12-9-18
|-3
1

Add -3 and 2 to get -1. Place the sum right underneath -3.
-3|12-9-18
|-3
1-1

Multiply -3 by -1 and place the product (which is 3) right underneath the third coefficient (which is -9)
-3|12-9-18
|-33
1-1

Add 3 and -9 to get -6. Place the sum right underneath 3.
-3|12-9-18
|-33
1-1-6

Multiply -3 by -6 and place the product (which is 18) right underneath the fourth coefficient (which is -18)
-3|12-9-18
|-3318
1-1-6

Add 18 and -18 to get 0. Place the sum right underneath 18.
-3|12-9-18
|-3318
1-1-60

Since the last column adds to zero, we have a remainder of zero. This means x%2B3 is a factor of x%5E3+%2B+2x%5E2+-+9x+-+18

Now lets look at the bottom row of coefficients:

The first 3 coefficients (1,-1,-6) form the quotient

x%5E2+-+x+-+6


So %28x%5E3+%2B+2x%5E2+-+9x+-+18%29%2F%28x%2B3%29=x%5E2+-+x+-+6


--------------------------------------------------------------------------
Answer:
So to recap, the only expression that is not a factor is

x-2

Notice when we graph the function

y=x%5E3+%2B+2x%5E2+-+9x+-+18

+graph%28+300%2C+200%2C+-6%2C+5%2C+-10%2C+10%2C+x%5E3+%2B+2x%5E2+-+9x+-+18%29+

we can clearly see that the polynomial x-2 is not a factor since x=2 is not a root