Hi,
vertices at (3,0) and (-3,0) and foci (5,0) and (-5,0). Note: repeat of y = 0
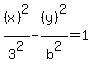
Hyperbola
opening right and left along y = 0
vertices at (3,0) and (-3,0) h =
= 0 ⇒ foci are 3 units right and left of center (0,0), a = 3

foci (5,0) and (-5,0). 5 units right and left of center (0,0)
= 5, b^2 = 16, b = 4
Standard Form of an Equation of an Hyperbola opening right and left is:
with C(h,k) and vertices 'a' units right and left of center
Foci are
units right and left of center along y = k
& Asymptotes Lines passing thru C(h,k), with slopes m = ± b/a