Question 827598: hi! thank you!
write each expression as a sum or difference of multiples of logarithms:
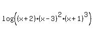
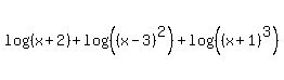
1) log (x+2)(x-3)^2(x+1)^3
2) log base 3 of squareroot of 8x^2/5y^3
3) In x^2-15/(x-4)^3
Answer by jsmallt9(3758) (Show Source):
You can put this solution on YOUR website! We will be using three properties of logarithms:We will use the first two, from right to left, to split up the log of a product or quotient. We will use the third one, from left to right, to "move" an exponent of the argument out in front of the log.
1) 
The argument, as a whole, is a product. So we will use the first property to break it up:

There's nothing else we can do with the first log. But the second and third logs have exponents on their arguments so we can use the third property to move the exponent out in front:

And we are done.
2) 
Although disguised, the argument has an exponent. Square roots are the same as an exponent of 1/2. Rewriting the square root with this fractional exponent:

Now we can use the third property to move the exponent:

The argument now, as a whole, is a quotient. So we will use the second property to split it up:

(Note the use of parentheses! Making substitutions involving multiple terms, like we just did, without using parentheses is a good way to get it wrong.)
Both log's arguments, as a whole, are products. So we will use the first property to split them up:

Again with the parentheses!
The second and last logs have exponents we can move:

All we have left is to simplify...

Distributing the 1/2:

And we are done.
3) 
First of all, it is "el-en" not "eye-en". The argument is a quotient so we'll use the second property:

The second log has an exponent we can move:
|
|
|