







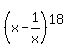
If there is a term independent of x, it will be a term when
the exponent of x is 0, since x0 = 1
So we set the exponent of x equal to zero:
2k-18 = 0
2k = 18
k = 9
So the term when k=9 is 





= 48620
Note that
= C(n,k) = nCk
Since the terms go k=0 to k=18, there are 19 terms and the middle
term will be the 10th term and that is when k=9. Therefore the term
48620 IS the middle term.
Edwin