Question 760363: YZ has endpoints of Y (-1,-11) Z(-1,-3) what is the length
Found 2 solutions by Alan3354, MathLover1: Answer by Alan3354(69443) (Show Source):
You can put this solution on YOUR website! YZ has endpoints of Y (-1,-11) Z(-1,-3) what is the length
------------------
The x & y axes are perpendicular to you can always make a right triangle with the points on the hypotenuse.
-----

Answer by MathLover1(20850) (Show Source):
You can put this solution on YOUR website!
| Solved by pluggable solver: Distance Formula |
The first point is (x1,y1). The second point is (x2,y2)
Since the first point is (-1, -11), we can say (x1, y1) = (-1, -11)
So , 
Since the second point is (-1, -3), we can also say (x2, y2) = (-1, -3)
So , 
Put this all together to get: , , , and 
--------------------------------------------------------------------------------------------
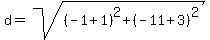
Now use the distance formula to find the distance between the two points (-1, -11) and (-1, -3)

Plug in , , , and 





==========================================================
Answer:
The distance between the two points (-1, -11) and (-1, -3) is exactly 8 units
|
so, the length is
|
|
|