|
Question 745144: Dry sand is being poured into a conical pile at a rate of 10 cubic meters per minute; the diameter of the pile is equal to the height. At what rate is the height of the cone changing when there are 144π cubic meters of sand in the pile?
Answer by KMST(5328) (Show Source):
You can put this solution on YOUR website! = height of the cone = diameter of the base
The volume of a cone, , is calculated as
based on the height and
= area of the base, or = radius of the base
In the case of the pile of sand, , so

When , --> --> 
For all other times, solving for we get
--> --> or 
is a linear function of time
If time after (with in and in minutes,
and 
As is not a linear function of time, the rate of change for changes with time, and for an exact value we have to calculate it using calculus.
Without calculus, we can get approximate values.
WITH CALCULUS:
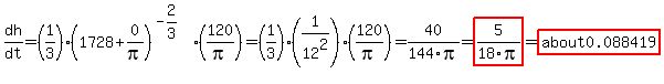
,
and at , 
WITHOUT CALCULUS:
We can get estimates of the instantaneous rate of change in when by calculating the average rate of change over short periods of time, when is about .
For example, between and minutes, changes from
to and changes from
to 
The average rate of change is 
If we use and with
and ,
we get an average rate of change of

Either way, we see that meters per minute is a good estimate of the rate of increase for the height of the pile when .
NOTE:
We did not really need to keep using , or , or to calculate an approximate rate of change without calculus. All we needed to know is that for .
We know that the ratio of volumes of similar solids is the cube of the ratio of lengths for any dimension measured, so
<--> 
That would let us calculate the height for any other volume
Since , ,

and the average rate of change
|
|
|
| |