Hi,
Note:
Standard Form of an Equation of an Ellipse is 
where Pt(h,k) is the center and a and b are the respective vertices distances from center.
Identify the center, vertices, and co vertices
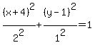
is
||C(-4,1), V(-2,1) and V(-6,1) Co vertices (-4,2) and (-4,0)
is
||C(-8,-2), V(-8,3) and V(-8,-7) Co vertices (-3,-2) and (-5,-2)
is
||C(3,-3), V(3,6) and V(3,-12) Co vertices (10,-3) and (-4,-3)
