Question 615643: How do you find the equation, center, vertices, and foci of the following problem:
4x^2-16y^2+40x+128y-220=0
Answer by KMST(5328) (Show Source):
You can put this solution on YOUR website! My way:
--> --> 
Now, I add a term into each bracket to "complete the square" and (of course) add the same thing to the right side of the equal sign too.
--> --> --> 
Next, I write the brackets as squares:
--> 
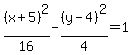
Finally, I divide both sides by the value on right side of the equal sign to get the equation in the form I like:
--> --> 
Or even better, I can write those denominators as squares, as in:

That matches the general equation for a hyperbola with a horizontal transverse axis, centered at (h,k):

From that equation, I get the coordinates of the center and the vertices.
The center is (-5,4), from the numbers subtracted from x and y. (You can see that the curve is symmetrical with respect to x=-5 and symmetrical with respect to y=4).
When y=4, --> and that is the smallest possible value for . For all other values of y,
and 
So 
That is as close to the center as the hyperbola can get, and it gives you the coordinates of the vertices:
--> or --> --> or 
So the vertices are at (-9,4) and (-1,4).
The foci are on the line conecting the vertices (the transverse axis), at points
at a distance c from the center, with c calculated as
, so 
So the foci are at ( ,4) and ( ,4).
|
|
|