Question 612279: f(√(11)+√(15))
f(x) = x^2
Found 2 solutions by lynnlo, jsmallt9: Answer by lynnlo(4176) (Show Source): Answer by jsmallt9(3758) (Show Source):
You can put this solution on YOUR website! Function problems will be a lot easier for you once you learn that the "x" in f(x) is just a placeholder. It represents whatever happens to be the input to the function. And the part of tells use what the function does to its input, x. It squares it. No matter what the input is to this function f, it will square it. If the input is x, f will square it. If the input is 5, f will square it. If the input is q, f will square it. If the input is a-4, f will square it.
If the input is , as in f , f will square it! So:
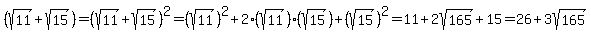
f
All that is left is to simplify. Exponents do not distribute! So it is not just 11 + 15. To square correctly, use FOIL on or use the pattern. Personally, I prefer using the pattern:
f
|
|
|