Question 612149: tan pie/12
Found 2 solutions by jsmallt9, Alan3354: Answer by jsmallt9(3758) (Show Source):
You can put this solution on YOUR website! I assume that the problem is to find an exact value for . Please post the entire problem, including the instructions.
When the phrase "exact value" is used in Trig problems, it is code for "put away your calculator and use special angles".
But is not a special angle!? So how an we do this? The answer is: Find a way to express in terms of special angles and then use appropriate Trig properties to find the tan of that expression.
The special angles are 0, , , , , and multiples of these. SO we want to find some expression involving these special angles that is equal to . There are probably other expressions that will work, but one that come to mind is: . This expression, properly subtracted, is equal to . So we can rewrite

as

Now we can use , to rewrite this in terms of and :

Since and , this expression becomes:

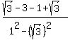
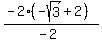
which simplifies to:

This may be an acceptable answer. But it does have a square root in the denominator so you may want to rationalize it:







or

So the exact value for , in simplest form, is
Answer by Alan3354(69443) (Show Source):
|
|
|