Question 594175: what are the steps required to solve for x?
solve for x
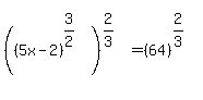
(5x-2)^(3/2)=64
five ex minus two to the power of three halves equals 64
The answer is x=18/5 but I don't understand how to arrive at that answer.
Answer by jsmallt9(3758) (Show Source):
You can put this solution on YOUR website! This is not a problem for logarithms as far as I can see. Logarithms are use for equations where the variable is in an exponent. (For example: .) So I have changed the category to a more suitable one.

I think you will agree that the equation without the exponent:

would be very easy to solve. So what we are going to do is figure out how to get rid of the exponent. The key to this is to understand that everything has an exponent!! We don't see exponents on everything because when the exponent is 1 we don't usually write it. So one way to write the easy equation would be:

Now, instead of thinking of some magic to make an exponent disappear, we can be thinking of "How can we change an exponent from 3/2 to 1?" This sounds much more mathematical. By now you should know several rules for exponents and one of the effects of most of these rules is that one or more exponents get changed.
The rule we will be using is:

So we will now try to figure out the "z" in:

The rule tells us that we should multiply the exponents. So we want to know 3/2 times what would be equal to 1? If we understand reciprocals well, we know that the product of reciprocals is always a 1. So we need the reciprocal of 3/2 which is 2/3.
Now we know how to start. Raise each side of your equation to the 2/3 power:

On the left side simplifies, as planned, to or just :

But you might be wondering, "Sure we got rid of the exponent of 3/2. But now we're stuck with a new exponent of 2/3!?" There are two reasons our new equation is better than the first one: can be simplified. (I will show you how shortly.)- Even if we can't get rid of the exponent of 2/3 we can still solve for x:

Add 2:

Divide by 5:

If you have trouble with negative and/or fractional exponents I find that a factoring the exponent in a certain way can be helpful:- If the exponent is negative, factor out a -1.
- If there is a fraction in the exponent (which should be positive now that the -1 has been factored out) and the fraction's numerator is not a 1, then factor out the numerator.
With the exponent factored in this way, each individual factor tells you an operation to perform:- If you have a factor of -1, then you will be finding a reciprocal.
- If you have a whole number factor, it means what it usually means (2 means square, 3 mean cube, etc.)
- If you have a factor which is a fraction (which should have a numerator of 1 after step 2 above), then you will be finding a root: 1/2 means square root, 1/3 means cube root, etc.
Once you know what operation(s) will be done, then just do them in what ever order seems easiest! The order in which the operations are doen does not matter!
So you can see this, let's try to simplify:

1. The exponent is negative so we will factor out a -1:

2. The fraction does not have a numerator that is 1 so we factor out the numerator:

With the exponent factored like this we can see, from the various factors, that we will find a reciprocal, square something and find a cube root. Now we just do these operations in what ever order seems easiest. The reciprocal of 64 is a fraction (1/64). Fractions complicate things a little so I choose not to start with that. Squaring 64 will result in a very large number. So let's postpone that, too, unless that turns out to be the best option. Finding a cube root would normally seem to be the least appealing operation of the three. But the cube root of a perfect cube is easy. And so its cube root is a simple 4. So we'll start with the cube root:

Note how I remove the factor in the exponent after its operation has been done. We still have a square and a reciprocal to find. I like squaring better so I'll so that next:

And now the reciprocal:

Your equation has not . So it will simplify exactly as the example above except there will be no reciprocal. This makes 
Our equation is now:
5x - 2 = 16
I'll leave it up to you to finish solving this very simple equation.
|
|
|