Question 536514: how to i find the value of the angles PQR and QRS with the only coordinates given for the parallelogram P=(-2.1) , Q=(-6,4) and R = (4,3)
Answer by KMST(5328) (Show Source):
You can put this solution on YOUR website! MY WAY
If PQRS is a parallelogram the measures of angles PQR and QRS add up to 180 degrees.
The sides QR and PS are congruent and parallel (slope of the lines are the same.
Going from Q to R the x-coordinate increases by 10, while the y-coordinate decreases by 1. (slope =-1/10). Doing the same from P, we can locate S at (8,0).
Consider the point N=(-2,0) and right triangle PSN.
Tangent of angle PSN=1/10, so PSN measures 5.71 degrees
Now consider point M=(4,0) and right triangle RSM.
Tangent of angle RSM=3/4, so angle RSM (or angle RSN) measures 36.87 degrees.
The measure of angle RSP can be calculated by difference as 31.16 degrees, and it's the same as the measure of angle PQR.
The measure of supplementary angles QRS and SPQ, in degrees can be calculated as
180-31.16=148.84
WHAT MIGHT HAVE BEEN EXPECTED
Where you studying law of cosines?
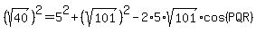
If so, you were probably expected to calculate the lengths of the sides of triangle PQR and use those lengths and law of cosines to find the measure of PQR.
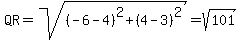
So you would use the coordinates of the points and either plug into a formula for distance between points, or imagine a right triangle and apply Pythagoras to
get



Then, law of cosine says



---> PQR=31.16 degrees
NOTE: It is also possible that the answer was expected in radians, rather than degrees. My calculator says PQR=0.5408 when I switch the mode to radians.
That would make QRS=3.1416-0.5408=2.6008 in radians.
|
|
|