Question 520622: PLEASE I NEED HELP!!!
Two cars are each 100 miles away from the town of Tucumcari, one directly to the north and the other directly to the east. The car to the north is heading toward the town at 60 miles per hour, while the one to the east is heading toward the town at 30 miles per hour. How fast are the cars approaching each other?
Answer by bucky(2189) (Show Source):
You can put this solution on YOUR website! Since nobody else has responded, I'm going to take a shot at your problem. If you feel that I'm off-track or this is not the way it is to be done, you'll have to post it again. (This is a related rates problem and I'm going to assume that you've had some calculus. If not, this will probably be confusing to you.) Here goes:
.
For reference and description, let's assume that the cars are on a coordinate system. Tucumcari is at the origin. Car N starts at the 100 mile point on the positive y-axis and is driving at 60 mph down the y-axis toward the origin. Meanwhile, Car E starts at the 100 mile marker on the positive x-axis and is driving toward the origin at 30 mph. Both cars start at the same time, t = 0. Pretty much the way that you described it in writing up this problem.
.
If you draw a line connecting the two cars, note that you have formed a right triangle. One leg of this triangle is from the origin Car N on the y-axis. The other leg is from the origin to Car E on the x-axis. And the hypotenuse of the right triangle is the line connecting the two cars. Note that this hypotenuse is changing as the cars move in their respective directions and the rate of change in this hypotenuse is what you are to find.
.
What is the position of Car N relative to time? This will be the distance between the origin (Tucumcari) and Car N. This position will be 100 minus the distance that the Car travels at 60 mph times the elapsed time. For example, after the first hour Car N has gone 60 mph times 1 hour = 60 miles and its position on the y-axis is 100 - 60 = 40. It is 40 miles from the origin and the length of this leg of the triangle is 40 miles. So the length of this y-axis leg is given by the expression 100 - 60t.
.
Similarly, for the east leg of the triangle (along the x-axis) the length of this leg is given by the expression 100 - 30t.
.
Since we are talking about a right triangle we can relate the hypotenuse to the legs using the Pythagorean theorem. For ease, let's call the hypotenuse (the distance between the cars) D. Then according to the Pythagorean theorem we can write:
.

.
But we just said that x was equal to 100 - 30t and y was equal to 100 - 60t. So we can make that substitution into the Pythagorean equation to get:
.

.
Next square out the two terms on the right side and you have:
.

.
Combine the like terms on the right side and this reduces the right side as shown:
.

.
Take the square root of both sides to solve for D. Use the exponent for the square root function:
.

.
Rearrange the terms in the parentheses to the more conventional form of descending powers of t:
.

.
Now differentiate both sides with respect to t to get:
.

.
Now it becomes a problem of simplification and combining constants, etc.
.
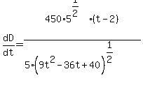
In the last set of parentheses multiply the 2 times 4500. Also put the parentheses with the exponent of negative 1/2 into the denominator so that it has a positive exponent as follows:
.

.
In the numerator, factor out the 9000
.

.
Divide the 9000 in the numerator by the 2 in the denominator:
.

.
In the denominator and inside the parentheses factor out a 500:
.

.
Note that the 500 in the denominator can be split out as follows:
.

.
And since 500 is 5*100, the square root of 500 is 10 times the square root of 5. This simplifies the denominator to:
.

.
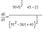
Divide the 10 from the denominator into the 4500 of the numerator and you have:
.

.
Then multiply the numerator and denominator by the square root of 5 to get rid of the radical in the denominator. This makes the right side become:
.

.
Divide the 5 in the denominator into the 450 of the numerator to simplify the the rate of change to:
.

.
You can probably do more with this, but I'm going to stop here. This is an answer for the rate of change of the distance between the two cars. Note that it is time dependent.
.
Suppose that we try it for a value of t of one hour. (t must always be expressed in units of hours as were the rates of 60 mph and 30 mph used in developing this equation.)
.
Substituting 1 for t leads this equation to become:
.

.
The numerator becomes which on a calculator results in -201.246118
.
The denominator becomes which is and the square root of 13 is 3.605551275.
.
So the rate of change of the distance between the cars at t = 1 hour is:
.

.
The answer is that at t = 1 hour the speed of closure between the two vehicles is 55.8 mph. The negative sign indicates that the distance is decreasing.
.
Check my math and methodology. It's been a long time since I did a problem of this type. If you find anything you don't like about this solution, re-post this problem and maybe somebody else can straighten it out for you.
.
Best of luck ... Hope this helps ....
|
|
|