Quadratic equation (in our case ) has the following solutons:

For these solutions to exist, the discriminant should not be a negative number.
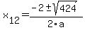
First, we need to compute the discriminant : .
Discriminant d=424 is greater than zero. That means that there are two solutions: .


Quadratic expression can be factored:

Again, the answer is: 9.295630140987, -11.295630140987.
Here's your graph:
 |