Question 452054: Verify that the points (0,0),(a,0) and (a/2, square root symbol "I don't know how to type it in", with 3a/2 in it, are equilateral triangles. Then show that the midpoints of the three sides are the vertices of a second equilateral triangle.
Answer by MathLover1(20850) (Show Source):
You can put this solution on YOUR website!
(0,0),(a,0) and ( ,
use Distance formula
(0,0) and (a,0)
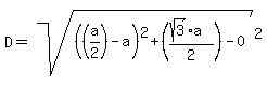
(a,0) and ((a/2),(sqrt((3a)/2))
(0,0) and ((a/2), (sqrt(3)a/2))
So, since they are  , this is an triangle.
|
|
|