Question 43566: Use completing the square or the quadradic formula to find the solutions to the equation: x^2-4x+2=0. Thank you for your time.
Answer by aaaaaaaa(138) (Show Source):
You can put this solution on YOUR website!
Solved by pluggable solver: SOLVE quadratic equation with variable |
Quadratic equation (in our case ) has the following solutons:

For these solutions to exist, the discriminant should not be a negative number.
First, we need to compute the discriminant : .
Discriminant d=8 is greater than zero. That means that there are two solutions: .


Quadratic expression can be factored:

Again, the answer is: 3.41421356237309, 0.585786437626905.
Here's your graph:
 |
Now for the other method:
Solved by pluggable solver: COMPLETING THE SQUARE solver for quadratics |
Read this lesson on completing the square by prince_abubu, if you do not know how to complete the square. Let's convert to standard form by dividing both sides by 1:
We have: .
What we want to do now is to change this equation to a complete square . How can we find out values of somenumber and othernumber that would make it work?
Look at : . Since the coefficient in our equation that goes in front of x is -4, we know that -4=2*somenumber, or . So, we know that our equation can be rewritten as , and we do not yet know the other number.
We are almost there. Finding the other number is simply a matter of not making too many mistakes. We need to find 'other number' such that is equivalent to our original equation .

The highlighted red part must be equal to 2 (highlighted green part).
, or .
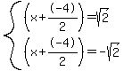
So, the equation converts to , or .
Our equation converted to a square , equated to a number (2).
Since the right part 2 is greater than zero, there are two solutions:

, or




Answer: x=3.41421356237309, 0.585786437626905.
|
Note that it says that
|
|
|