Question 412495: What is the answer to this equation? (log(x-1)^2)^4+(log(x-1)^3)^2=25
Answer by jsmallt9(3758) (Show Source):
You can put this solution on YOUR website! 
This is quite a problem! I'll try to explain it well enough for you to understand.
The first part of the solution will be to rewrite the equation in terms of the log of (x-1), not log of (x-1) to some power. For this I will use a property of logarithms, , which allows us to move an exponent of the argument out in front:

Next I will use a rule/property of exponents, , to exponentiate the two expressions on the left side:

which simplifies to:

At this point, I noticed that the equation is in "quadratic form". (I'll explain this a little more shortly.) And as a quadratic we want one side of the equation to be zero. Subtracting 25 from each side we get:

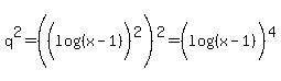
What makes this equation in "quadratic form" is the fact that the first exponent is twice the exponent in the middle. It will help make this clear if I use a temporary variable:
Let 
Then 
If we substitute q and into the equation we get:

This is obviously a quadratic equation. We can solve it by factoring (or by using the Quadratic Formula). This will factor:
(q-1)(16q+25) = 0
From the Zero Product Property we know that one of the factors must be zero. So
q-1 = 0 or 16q+25 = 0
Solving these we get:
q = 1 or q = -25/16
Of course we are looking for solutions for x, not q. So we substitute back in for q:
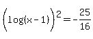
or 
The second equation says that something squared equals a negative number. This is not possible (with real numbers) so we will disacrd that "solution". To solve the first equation for x we will find the square root of each side:

which simplifies to

which simplifies to
or 
To solve these we rewrite them in exponential form. In general is equivalent to . Using this pattern on both equations we get:
or 
which simplify to:
or 
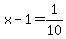
Adding 1 to each side of each equation we get:
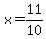
or 
Last of all we must check our solutions. We must ensure that all solutions make all arguments of all logarithms positive. Any "solution" that makes an argument of any logarithm zero or negative must be rejected. And these rejected "solutions" can happen even if no mistakes have been made! So even expert mathematicians must check their answers on these problems.
Use the original equation to check:

Checking x = 11:

We can already see that both arguments will be positive. So there is no reason to reject this solution. This is the required part of the check. The remainder of the check will tell us if we made a mistake. You are welcome to finish the check.
Checking x = 11/10:

Since 11/10 is more than 1, we can already see that both arguments will be positive. So there is no reason to reject this solution, either. Again, you are welcome to finish the check.
So there are two solutions to your equation x = 11 or x = 11/10
|
|
|