Question 398986: log y 16=-4
Answer by jsmallt9(3758) (Show Source):
You can put this solution on YOUR website! When posting logarithmic equations, please indicate the base of the logarithm more clearly. For example, your equation could be posted as
base y log of 16 = -4
log base y of 16 = -4
or
log(y, (16)) = -4
(If you put three left braces, "{" in front and three right braces, "}" behind the last one, your equation would look like it should:

Tutors are more likely to help when a problem is clearly stated.
Solving an equation like this starts with rewriting the equation in exponential form. In general is equivalent to . Using this pattern on your equation we get:

Now we can solve for y. The solution will be of the form
y = something
Since we can think of this as
= something
So we have and we want . Somehow we need to find a way to change the exponent from -4 to 1. To do this we will put together three ideas:- It is OK to raise both sides of an equation to the same power.
- When raising a power to a power, the rule for exponents is to multiply the exponents.
- When multiplying reciprocals, the result is always a 1!
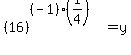
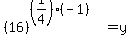
So we can change the exponent from -4 to 1 by raising both sides of the equation to the reciprocal of -4 power. The reciprocal of -4 is -1/4:

On the right side we get (or y) as planned:

Now we jsut have to simplify the left side. If you have trouble with negative and/or fractional exponents I find it can be helpful to factor the exponent in a certain way:- If the exponent is negative, factor out -1.
- If the exponent is fractional and the numerator is not a 1, then factor out the numerator.
Once the exponent is factored, each factor tells us an operation that should be performed. And since multiplication is Commutative, we can do these operations in any order we choose!
Let's see how this works with:

The exponent is negative so we factor out -1:

The exponent is fractional but the numerator is 1 so we are finished factoring. Now we look at the factors of the exponent.- The -1 as an exponent means we will find a reciprocal.
- The 1/4 as an exponent means we will be finding a 4th root.
So we will be finding a reciprocal and a 4th root. And we can do these in any order. A reciprocal of 16 will make a fraction. A 4th root is often not simple. But since , the 4th root of 16 is simple. So we will start with the 4th root and finish with the reciprocal. (NOTE: If you use the opposite order the answer works out the same, just not as easily.)




When solving logarithmic equations you must check your answers. The bases and arguments of all logarithms must be positive for any proper solution. Any solution that makes a base or an argument zero or negative must be rejected. These rejected solutions can occur even when no mistakes have been made. This is why you must check.
Always use the original equation to check:

Checking y = 1/2:

We can see that both the base and the argument are positive. So there is no reason to reject this solution. This is the required part of the check. The rest of the check will tell us if we made any mistakes. You are welcome to finish the check.
So y = 1/2 is the solution to your equation.
|
|
|