Hi
Note: the vertex form of a parabola,
where(h,k) is the vertex
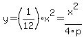
Parabola: x^2 = 12y OR
where Pt(0,p) is the focus
parabola with center at Pt(0,0) and Pt(0,3) is the focus
and the length of the latus rectum chord = 4p = 12
the area of the triangle formed joining (Pt(0,0) to the ends of its latus-rectum
A = (1/2)b*h = 1/2 * 12 * 3 = 18
