Question 372654: CONSTRUCT A PROBABILITY DISTRIBUTION OF THE SUM ON THE FACES WHEN TWO DICE ARE ROLLED. find the mean variance, and standard deviation of the distribultion.
Answer by Fombitz(32388) (Show Source):
You can put this solution on YOUR website! Look at all of the possible outcomes ( total) and the sum



































Now find the number of outcomes for each sum from to .
,
,
,
,
,
,
,
,
,
,
,
,
.
.
.
Mean

.
.
.
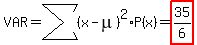
Variance

.
.
.
Standard Deviation

.
.
.
|
|
|