Question 349306: 64 1/2 =
64 2/3 =
45 1/3 =
(square root 57)3
Answer by jsmallt9(3758) (Show Source):
You can put this solution on YOUR website! (Note: Please use the "^" character (shift 6 on many keyboards) to indicate exponentiation. And put exponents in parentheses. For example, your first expression should be:
64^(1/2)
Problems that are not clear are less likely to be answered by a tutor.)
To simplify these expressions we must first understand that, in general,
= "the n-th root of a"
So = square root of 64 = 8
For exponents with a number other than 1 in the numerator, I find it can be helpful to look at the exponent in factored form. So

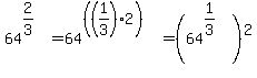
Then we can use the rule for exponents, and the Commutative Property of Multiplication in the exponent to rewrite this in various ways:

or

From this we can tell that a squaring will take place (because of the 2) and a cube (aka 3rd) root will be done (because of the 1/3) and that these two operations can take place in either order! So let's choose the order that makes things easiest. Squaring 64 first and then finding the cube root, , does not look very easy. But finding the cube root first and then squaring, , looks good if you realize that . This makes the cube root of 64 = 4 and squaring 4 is easy! So


45 is not a perfect cube, nor does it have any perfect cube factors (other than 1). So there is not really anything you can do to simplify it. Instead, you could:- Rewrite it in radical form:
, or - Find a decimal approximation for it using a calculator. (While calculators often have square root buttons, they rarely have cube (or other) root buttons. For these other roots, you raise the base to the fraction power. This is especially easy if, as many calculators do now, you calculator has buttons for parentheses, "(" and ")". In this case, to find the cube root of 45 you simply type in:
45^(1/3)
If your calculator does not have buttons for parentheses, then you have to convert the fraction to a decimal first and then use the decimal as the exponent. For cube roots this is inconvenient because 1/3, as a decimal, is an infinitely repeating decimal. So you have to type something like:
45^0.333333333333
The more 3's you can type, the more accurate your result will be. (Use the parentheses buttons if you have them.)
(square root 57)3 ????
|
|
|