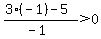
Question 328818: I'm stuck on this one - any help would be greatly appreciated:
When I try to solve this I end up with . x clearly can't be 0, but it could be negative and I just don't see how I can arrive at the negative x values.
Thanks in advance.
Answer by Fombitz(32388) (Show Source):
You can put this solution on YOUR website! Break up the number line into 3 regions.
Region 1: ( , )
Region 2: ( , )
Region 3: ( , )
For each region, pick any point in the region (not an endpoint).
Test the inequality.
If the inequality is satisifed, that region is part of the solution.
THen move to the next region.
.
.
.
Region 1: Let ,




True, this region is part of the solution.
.
.
.
Region 2: Let ,




False, this region is not part of the solution.
.
.
.
Region 3: Let ,



True, this region is part of the solution.
.
.
.
The solution is then ( , ) U ( , )
.
.
.
Verify graphically,
.
.
.
|
|
|