Question 326849: solve an inequality:
x/x+20>2/x+8
Found 2 solutions by stanbon, Fombitz: Answer by stanbon(75887) (Show Source):
You can put this solution on YOUR website! solve an inequality:
x/x+20>2/x+8
---
Find the boundary value(s) for the inequality by
solving the equalty.
-----
x/(x+20) = 2/(x+8)
x^2+8x = 2x+40
x^2 + 6x - 40 = 0
(x^2+10x-4x-40) = 0
(x+10)(x-4) = 0
x = -10 or x = 4
---
Draw and number line and plot x = -10 and x = 4 on the line.
----
Check a test value from each of the resulting
three number-line intervals to see where the
inequality solutions lie.
----
x/x+20>2/x+8
Check x = -15:
-15/5 > 2/-7 false
----------------------
Check x = 0:
0/20> 2/8 false
----------------------
Check x = 5
5/25 > 2/13 true
---
Solutions for the inequality in (4,+inf)
==============
Cheers,
Stan H.
==============
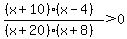
Answer by Fombitz(32388) (Show Source):
You can put this solution on YOUR website! 






.
.
.
Break up the number line into 5 regions.
Region 1:( , )
Region 2:( , )
Region 3:( , )
Region 4:( , )
Region 5:( , )
Pick a point in each region (not an end point).
Test the inequality.
If the point satisifes the inequality, the region is part of the solution.
Move on to the next region.
Region 1: Let ,



True, this region is part of the solution.
.
.
.
Region 2: Let ,



False, this region is not part of the solution.
.
.
.
Region 3: Let ,



True, this region is part of the solution.
.
.
.
Region 4: Let ,



False, this region is not part of the solution.
.
.
.
Region 5: Let ,



True, this region is part of the solution.
.
.
.
( , ) U ( , ) U ( , )
.
.
.
Graphically, the red line is the left hand side of the inequality, the green line is the right hand side of the inequality. Shown wih two different y scales.
.
.
.

.
.
.
|
|
|