Question 314430: How do you solve 3x+14-x < 56+3x
Answer by rapaljer(4671) (Show Source):
You can put this solution on YOUR website! You must get all the variable terms on one side, preferably the left side, and all the number terms on the opposite side.
Subtract 3x from each side:
3x+14-x-3x<56+3x-3x
14-x<56
Now, subtract 14 from each side:
14-14-x<56-14
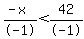
-x<42
Now, this is the tricky step. Divide both sides by -1. When you mult or divide both sides by a negative number, you must reverse the inequality.

For additional help with SOLVING INEQUALITES, please see my OWN website by clicking on my tutor name "rapaljer" anywhere in algebra.com. Click on my website which is given there, and look on my Homepage for the link "Basic, Intermediate, and College Algebra: One Step at a Time." Select "Basic Algebra", and look in "Chapter 1" for "Section 1.11 Inequalities." In addition to a detailed explanation, with examples, exercises, and ALL the answers, many of the exercises are solved IN COLOR on the "Math in Living Color" pages that go with these sections.
Dr. Robert J. Rapalje, Retired
Seminole State College of Florida
Altamonte Springs Campus
|
|
|