SOLUTION: find the length of the major axis of the ellipse with equation 4(x+4)^2+9(y-1)^2=36

Algebra ->  Quadratic-relations-and-conic-sections -> SOLUTION: find the length of the major axis of the ellipse with equation 4(x+4)^2+9(y-1)^2=36      Log On


   



Question 281728: find the length of the major axis of the ellipse with equation 4(x+4)^2+9(y-1)^2=36
Answer by Edwin McCravy(20062) About Me  (Show Source):
You can put this solution on YOUR website!
find the length of the major axis of the ellipse with equation

4%28x%2B4%29%5E2%2B9%28y-1%29%5E2=36

We must get that in standard form, which is:

%28x-h%29%5E2%2Fa%5E2%2B%28y-k%29%5E2%2Fb%5E2=1 if the ellipse looks like this: drawing%2850%2C50%2C-1%2C1%2C-1%2C1%2C+arc%280%2C0%2C2%2C-1%2C0%2C360%29+%29,

or %28x-h%29%5E2%2Fb%5E2%2B%28y-k%29%5E2%2Fa%5E2=1 if the ellipse looks like this: drawing%2850%2C50%2C-1%2C1%2C-1%2C1%2C+arc%280%2C0%2C1%2C-2%2C0%2C360%29+%29,

Where the length of the major axis is 2a and the length of
the minor axis is 2b.


4%28x%2B4%29%5E2%2B9%28y-1%29%5E2=36

All the completing of the square and factoring has already been done, so
we can start by getting a 1 on the right. To do that, we divide through
by 36:

4%28x%2B4%29%5E2%2F36%2B9%28y-1%29%5E2%2F36=36%2F36

Simplifying,

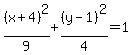
%28x%2B4%29%5E2%2F9%2B%28y-1%29%5E2%2F4=1

Since 9 is greater than 4 it is of the form:

%28x-h%29%5E2%2Fa%5E2%2B%28y-k%29%5E2%2Fb%5E2=1 so the ellipse looks like this: drawing%2850%2C50%2C-1%2C1%2C-1%2C1%2C+arc%280%2C0%2C2%2C-1%2C0%2C360%29+%29,

Therefore a%5E2=9 and a=3.

The major axis is 2a or 2%2A3 or 6

Here is the graph.  The ellipse's center is at (-4,1).

Its major axis is the green line which we see is 6 units long.



Edwin