|
Question 230655: functions G and F determine: a) (fºg)4) b) (gºf)(2) c) (FºF)(1) d) (gºg)(0)
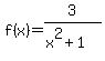
Function to solve F(x)= 3/x^2+1; g(X)=sqr X
Answer by jsmallt9(3758) (Show Source):
You can put this solution on YOUR website! Your problems are to find certain compositions of functions f and g. With functions, especially composition of functions, I find that it helps if you develop a better understanding of what the function rule represents. When have a function rule like

it helps if we look at this as more than just a formula. In the function rule, the x is simply a placeholder. It represents the input to the function. And the expression on the right describes what the function will do with the input, "x". For your g(x), this rule tells us that the g function will take the input, whatever it is, and find its square root. If we give the g function and input of x we get as the output. If we give the g function an q we get back . If we give the g function 3x+7 as input, we get back the the square root of 3x+7. No matter what we give g as input, the g function will return the square root of it. If we give g an input of g(x) (in order feed it to itself!?) we will get back the square root of g(x)!
Now let's see if we can figure out your problems. (Note: From what you wrote, it hard to tell if or . I;m going to use the first. If it is the second, you will have to fix the problems with the f function.)
a) (fºg)(4)
This stands for f(g(4))
Since 


b) (gºf)(2)
This stands for g(f(2))
Since f(x) = 3/(x^2+1)}}}



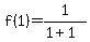
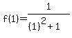
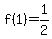
c) (FºF)(1)
This stands for f(f(1))
Since 




d) (gºg)(0)
This stands for g(g(0))
Since 

|
|
|
| |