|
Question 215215: please help!!!
x^2+x square root (x^2+x-2)=0
Answer by jsmallt9(3758) (Show Source):
You can put this solution on YOUR website! 
Since this equation has a zero on one side and since the other side will factor, we can start a solution by factoring out eh Greatest Common Factor (GCF), which is x:

In order for this product to be zero one of the factors must be zero:
x = 0 or 
At this point we already have one solution, x = 0.
Now we can see if the other equation produces any additional solutions. To solve equations with variables inside the square root, it is often best to get rid of the square root. To get rid of the square root, isolate it and then square both sides of the equation. (Note: Whenever you square both sides of an equation you may be introducing what are called extraneous solutions. This means you will have to check your solutions at the end and discard any that do not actually work.)
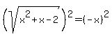
So we'll start by isolating the square root. Subtract x from both sides:

Now that the square root is isolated, we can square both sides:


The square root is gone. Now we can solve the remaining equation. Since it appears to be a quadratic equation we'll get one side of the equation equal to zero by subtracting from both sides:

As it turns out, this squared terms cancel out so we now have a simple linear equation. Add 2 to both sides and we get:

Because we squared both sides, we must check our answer. So we'll substitute 2 in for x into the equation:






This is false so 2 is not a solution. So we must discard it. And since that is the only possible solution to , there are no solutions to .
So, as it turns out, the only solution is x = 0.
|
|
|
| |