Question 163622This question is from textbook College Algebra
: Find the maximum value of F=7y-4x subjet to
x+y
4x-3y
x>or=0
y>or=0
This question is from textbook College Algebra
Answer by Fombitz(32388) (Show Source):
You can put this solution on YOUR website! First let's graph the feasible region.




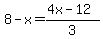
The feasible region is the triangle bounded by vertices (3,0),(8,0), and (36/7,20/7).
The final point is determined by equating

and

as shown here,




Then




.
.
.
The max and min of F occur at the vertices of the feasible region.
Check all the points to determine.
.
.
.
(3,0)


.
.
.
(8,0)


.
.
.
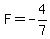
(36/7,20/7)



.
.
.
The min value occurs at (8,0) where F=-32.
|
|
|