Question 157633: (((Please give me a step wise solution for equation x^y+y^x=1061)))
Answer by Fombitz(32388) (Show Source):
You can put this solution on YOUR website! You can iterate to find solutions.
Start with x=0.



No solution at x=0.
.
.
.
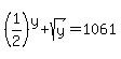
Next x=1/2.


Actually, y becomes large and the term goes to zero, so the equation looks like,
and
y=1061*1061=1125721
.
.
.
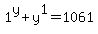
Next x=1. That's an easy one.




.
.
.
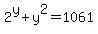
Next x=2,


Here's where the iteration takes place.
I set up an EXCEL spreadsheet to home in on a solution.
and

.
.
.
Next x=3,


Here's where the iteration takes place.
I set up an EXCEL spreadsheet to home in on a solution.

Looks like there's only one solution.
.
.
.
(1/2,1125721)
(1,1060)
(2,-32.572)
(2,9.911)
(3,6.12)
.
.
.
Hope it helps.
Good luck.
|
|
|