SOLUTION: 2log base3(x+4)=log base 3 9+2 solve for x

Algebra ->  Logarithm Solvers, Trainers and Word Problems -> SOLUTION: 2log base3(x+4)=log base 3 9+2 solve for x      Log On


   



Question 134542This question is from textbook
: 2log base3(x+4)=log base 3 9+2
solve for x
This question is from textbook

Answer by solver91311(24713) About Me  (Show Source):
You can put this solution on YOUR website!
You either meant: 2%2Alog%283%2C%28x%2B4%29%29=log%283%2C%289%2B2%29%29 or 2%2Alog%283%2C%28x%2B4%29%29=%28log%283%2C9%29%29%2B2

Let's assume you meant the first one:
n%2Alog%28b%2Cx%29=log%28b%2Cx%5En%29, so:

log%283%2C%28x%2B4%29%5E2%29=log%283%2C11%29

=> %28x%2B4%29%5E2=11

x%2B4=sqrt%2811%29 or x%2B4=-sqrt%2811%29

and finally, x=-4%2B-sqrt%2811%29

However, since 9%3C11%3C16, 3%3Csqrt%2811%29%3C4. That means that -4%2Bsqrt%2811%29%3E-1 and -4-sqrt%2811%29%3C-7.

The domain of log%28b%2Cx%29 is 0%3Cx%3Cinfinity, so the domain of log%283%2C%28x%2B4%29%29 must be -4%3Cx%3Cinfinity

Therefore, -4-sqrt%2811%29 must be excluded since it represents a value that would make x%2B4 be outside of the domain of log%283%2C%28x%2B4%29%29.

-4%2Bsqrt%2811%29%2B4 is in the domain of log%283%2C%28x%2B4%29%29, therefore x=-4%2Bsqrt%2811%29 completely describes the solution set for the given equation.

On the other hand, if you really meant:

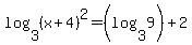
2%2Alog%283%2C%28x%2B4%29%29=%28log%283%2C9%29%29%2B2

Then begin with the same rule for logarithms used above, namely: n%2Alog%28b%2Cx%29=log%28b%2Cx%5En%29 to write:

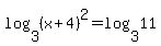
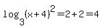
log%283%2C%28x%2B4%29%5E2%29=%28log%283%2C9%29%29%2B2

Since log%28b%2Cx%29=y if and only if b%5Ey=x, we can say log%283%2C9%29=y if and only if 3%5Ey=9 and therefore log%283%2C9%29=y=2, hence:

log%283%2C%28x%2B4%29%5E2%29=2%2B2=4

Again using log%28b%2Cx%29=y if and only if b%5Ey=x, we can write:

%28x%2B4%29%5E2=3%5E4

Taking the square root of both sides:

x%2B4=3%5E2 or x%2B4=-%283%5E2%29

And
x=5 or x=-13. Using the same logic as above, exclude any root less than -4. x=5 is the single element of the solution set.