SOLUTION: if f (x) + f '' (x) = 2 tan ^3(x) + tan ^2(x) + tan (x) + 1 , then f (x) = ...

Algebra ->  Complex Numbers Imaginary Numbers Solvers and Lesson -> SOLUTION: if f (x) + f '' (x) = 2 tan ^3(x) + tan ^2(x) + tan (x) + 1 , then f (x) = ...      Log On


   



Question 1207534: if f (x) + f '' (x) = 2 tan ^3(x) + tan ^2(x) + tan (x) + 1 , then f (x) = ...
Answer by mccravyedwin(408) About Me  (Show Source):
You can put this solution on YOUR website!
These days there are online calculators that will solve almost anything. This
site will even give the steps. (I predict they'll eventually start requiring
you to subscribe, so you'll have to pay $$$).  So take advantage while they're
still free.
 
Go to this site 

https://mathdf.com/dif/

and type this in

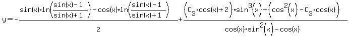
 y + y '' = 2 tan ^3(x) + tan ^2(x) + tan (x) + 1

and you'll get this:



Then change y to f(x).  You can get the steps also.

Edwin