Question 1204200: Write the equation of the ellipse that has a center at (5,-4), a vertex at (12,-4), and a covertex at (5,-6).
Found 2 solutions by ikleyn, MathLover1: Answer by ikleyn(52866) (Show Source): Answer by MathLover1(20850) (Show Source):
You can put this solution on YOUR website! The standard form of the equation of an ellipse with center
( , ) and major axis parallel to the -axis is
where

the length of the major axis is 
the coordinates of the vertices are ( ± , )
the length of the minor axis is
the coordinates of the co-vertices are ( , ± )
the coordinates of the foci are ( ± , ), where
the ellipse that has
a center at ( , )
Thus, ,
vertex at ( , )=> ( ± , )=>


a covertex at ( , )=>( , ± )


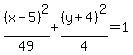
your ellipse is
|
|
|