|
Question 1199472: if 65% of x is 195, what is 75 percent of x ?
Found 3 solutions by josgarithmetic, greenestamps, MathTherapy: Answer by josgarithmetic(39626) (Show Source): Answer by greenestamps(13203) (Show Source):
You can put this solution on YOUR website!
The solution from the other tutor uses very formal algebra.
If formal algebra is not required, the answer can be obtained by a relatively simple calculation.
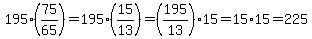
You are given that 65% of x is 195. To find what 75% of x is, multiply 195 by (75/65).

ANSWER: 225
----------------------------------------------------------------
Comment after seeing the response from tutor @MathTherapy....
NEVER pay any attention to anyone who says he has "the best way" to solve a problem.
Keep an open mind about looking at different possible methods for solving any problem and find one that "works" best for YOU.
(If mankind never looked for different ways of solving problems, we would all still be living in caves....)
Answer by MathTherapy(10556) (Show Source):
You can put this solution on YOUR website!
if 65% of x is 195, what is 75 percent of x ?
PROPORTIONS is the best way to go with a problem like this. The setup is:
, with A being the amount 75% represents.
.65A = .75(195) ----- Cross-multiplying
Amount that 75% represents, or
IGNORE that STUPID statement from that IGNORAMUS!! AGAIN, PROPORTIONS is the BEST WAY to solve this and any similar problem!
This IGNORAMUS believes he owns this site and he knows mathematics like no one else!!
|
|
|
| |