Question 1196817: Students took a math test before and after tutoring. Their scores were as follows.
Before 71,66,67,77,75
After 75,75,65,80,87
Using a 0.01 level of significance, test the claim that the tutoring has an effect on the math scores. Assume scores after tutoring are the first population and scores before tutoring are the second population.
Test statistic: t = 2.1336
p-value = 0.0499
Reject the Ho in favor of the HA
There is enough evidence to show that the tutoring has a significant effect on the math scores.
Test statistic: t = 2.1336
p-value = 0.0499
Fail to reject the Ho
There is not enough evidence to show that the tutoring has a significant effect on the math scores.
Test statistic: t = 2.1336
p-value = 0.0022
Reject the Ho in favor of the HA
There is enough evidence to show that the tutoring has a significant effect on the math scores.
Test statistic: t = 2.1336
p-value = 0.0022
Fail to reject the Ho
There is not enough evidence to show that the tutoring has a significant effect on the math scores.
Answer by math_tutor2020(3817) (Show Source):
You can put this solution on YOUR website!
We'll be doing a paired T-test, aka matched pairs
mu = = Greek letter mu to represent the population mean
d = difference in values
A positive d value represents a test score increase
eg: d = 5 is an increase of 5 points
= the mu of the d values
Null Hypothesis: 
Alternative Hypothesis:
Claim: The tutoring has an effect on the math scores
In other words, the claim is 
The claim is in the alternative hypothesis, and this hypothesis tells us we have a right-tailed test due to the inequality sign here.
alpha = 0.01
| Before | After | d = after - before | | 71 | 75 | 4 | | 66 | 75 | 9 | | 67 | 65 | -2 | | 77 | 80 | 3 | | 75 | 87 | 12 |
d represents the difference in the "before" and "after"
d = after - before
If d is negative, then before > after which shows a test score decline.
If d is positive, then before < after which shows a test score improvement.
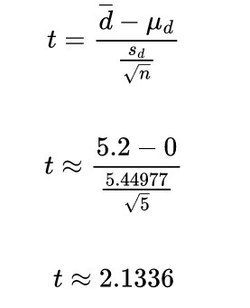
Use technology to find that
dbar = = 5.2
= 5.44977
which represent the sample mean and sample standard deviation of the column of differences (d).
We have 5 rows of paired data, so n = 5 is the sample size
Test Statistic:

The test statistic is roughly t = 2.1336
Now to find the p-value. We have a few options. I'll go over 3 of them.
Use the tcdf feature on your TI83/TI84 calculator
The function can be found by pressing the button labeled "2nd" then pressing the VARS key. Then scroll to option 5.
Type in tcdf(2.1336,999,4)
The first two inputs represent the lower and upper bounds of the area we want to calculate. We want to go from 2.1366 to some very large number. The 999 is treated as "infinity" in this context since it's so far from the center. This will calculate the area to the right of 2.1366 (recall we're doing a right-tailed test).
The 4 refers to the degrees of freedom (df)
df = n-1 = 5-1 = 4
The TI83/TI84 calculator should produce the value 0.0499 approximately. This is the p-value.
It's the area under the T curve to the right of t = 2.1336; ie P(T > 2.1336) = 0.0499 approximately when df = 4
To find the p-value using a spreadsheet, we'll use the function called TDIST
This is what you type in
=TDIST(2.1336,4,1)
The first two values 2.1336 and 4 were discussed earlier. The "1" at the very end tells the spreadsheet to do a one-tailed test. Specifically we're doing a one-tailed test to the right (aka right-tailed test).
Don't forget about the equal sign up front.
If you wanted, you can use an online calculator like this
https://stattrek.com/online-calculator/t-distribution
Though keep in mind that it will compute areas to the left of the t score. So you'll have to subtract the result from 1.
As you can see, there are a lot of options to pick from to calculate the p-value. Those examples I went over are a few of many others. Feel free to use your favorite method.
Whichever method you picked, the p-value is roughly 0.0499
This p-value is NOT smaller than alpha = 0.01, so we fail to reject the null. We conclude that is either 0 or smaller than 0. Meaning that the average of the d scores (aka differences) is not positive.
It appears there hasn't been a significant increase in the test scores.
-------------------------------------------------------------------------------------------------
Answer: Choice B
Test statistic: t = 2.1336
p-value = 0.0499
Fail to reject the Ho
There is not enough evidence to show that the tutoring has a significant effect on the math scores.
|
|
|