SOLUTION: Write the equation in standard form. {{{ 5x^2+3y^2+10x+12y-13=0 }}}

Algebra ->  Quadratic-relations-and-conic-sections -> SOLUTION: Write the equation in standard form. {{{ 5x^2+3y^2+10x+12y-13=0 }}}       Log On


   



Question 1175596: Write the equation in standard form.
+5x%5E2%2B3y%5E2%2B10x%2B12y-13=0+

Found 2 solutions by Solver92311, Edwin McCravy:
Answer by Solver92311(821) About Me  (Show Source):
You can put this solution on YOUR website!


It already is in standard form. If you (or your instructor) think otherwise, please provide your (or your instructor's) definition of the standard form.


John

My calculator said it, I believe it, that settles it

From
I > Ø

Answer by Edwin McCravy(20063) About Me  (Show Source):
You can put this solution on YOUR website!
The other tutor has "standard" form and "general" form 
confused.



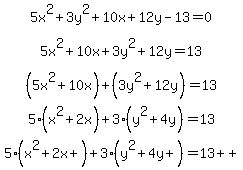
Take 1/2 of 2, get 1, square it, get 1.
Add 1 after the first "+" sign on the left,
and put 5 times it, 5, after the first "+"
sign on the right.

5%28x%5E2%2B2x%2B1%29%2B3%28y%5E2%2B4y%2B%22+%22%29=13%2B5%2B%22%22

Take 1/2 of 4, get 2, square it, get 4.
Add 4 after the "+" sign in the second 
parentheses on the left, and put 3 times 
it, 12, after the second "+" sign on the 
right.

5%28x%5E2%2B2x%2B1%29%2B3%28y%5E2%2B4y%2B4%29=13%2B5%2B12

factor what's in the parentheses and combine the 
numbers on the right:

5%28x%2B1%29%5E2%2B3%28y%2B2%29%5E2=30

Divide through by 30

5%28x%2B1%29%5E2%2F30%2B3%28y%2B2%29%5E2%2F30=30%2F30

Simplify:

%28x%2B1%29%5E2%2F6%2B%28y%2B2%29%5E2%2F10=1

 

Edwin