|
Question 1173066: how do i match a equation with a fraction in it with a set of coordinates?
my equation is,
y=2/3x-1
and my coordinates are
1-(5,-11)
2-(4,-5)
3-(3,11)and finaly
4-(-6,0)
P.S,
could you please show with step by step and prove by substitution.
Answer by josgarithmetic(39630) (Show Source):
You can put this solution on YOUR website! same thing
SAME THING, already explained. Plug in for each separately and see if it gives you the other coordinate. Not tough to do; just do it!
https://www.algebra.com/algebra/homework/Coordinate-system/Coordinate-system.faq.question.1173065.html
https://www.algebra.com/algebra/homework/Coordinate-system/Coordinate-system.faq.question.1173065.html
---
---
You have equation of line, , and a list of coordinate pairs, and you want to know which of them is on the line, and which are not.
Plug the values of each into your equation, and see which give true statements.
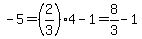
#1


------This is false; so (5,-11) is NOT on the line.
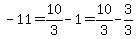
#2


--------This is false; so (4,-5) is not on the line.
#3 and #4, do these the same way and decide.
---
Actually, your equation was written ambiguously, so unclear if you actually were given , or as .
|
|
|
| |