Question 1166525:  Write the equations of the following polynomial functions,
 
a) a cubic function with zeros, 0,-2 and 3, graph passes through (-3,27)
 
b) a quartic function with zeros 1, -3, 2(of order 2), y-intercept is -48
 
 
Thank you 
 Answer by greenestamps(13215)      (Show Source): 
You can  put this solution on YOUR website! 
  
a) zeros 0, -2, 3; through (-3,27)
  
 
  
To determine the leading coefficient a, substitute y=27 and x = -3.
  
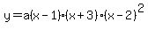
b) zeros 1, -3, 2, 2; through (0,-48)
  
 
  
To determine the leading coefficient a, substitute y=-48 and x=0.
  
 
  | 
 
  
 
 |   
 
 |