consider
Use long division to show that 
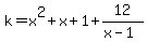
When we divide polynomials we write the answer
So QUOTIENT =
, REMAINDER = 12, DIVISOR = x-1,
we know that we are to divide by x-1
x² + x + (-k+1)
x - 1) x³ + 0x² - kx + (k+11)
x³ - x²
x² - kx
x² - x
(-k+1)x + (k+11)
(-k+1)x - (-k+1)
(k+11)+(-k+1) = k+11-k+1 = 12
I get the remainder 12, but the last term in the quotient
is (-k+1), whereas the last term in the quotient you gave
was 1. Did you leave out the -k? Or does it mean that -k+1 = 1
and k = 0. If k = 0, then the long division becomes
x² + x + 1
x - 1) x³ + 0x² - 0x + 11
x³ - x²
x² - 0x
x² - x
x + 11
x - 1
12
Edwin