|
Question 1143054: SOLUTION: I am a rational function having a vertical asymptote at the lines x = 3 and x = -3, and a horizontal asymptote y = 1. If my only x-intercept is 5, and y-intercept is -5/9, What
Answer by greenestamps(13203) (Show Source):
You can put this solution on YOUR website!
Write the function with both numerator and denominator as the product of linear factors.
(1) vertical asymptotes at x=3 and x=-3: this means factors of (x-3) and (x+3) in the denominator.
(2) horizontal asymptote y=1: this means the numerator and denominator have the same number of linear factors; and the leading coefficients are the same
(3) only x-intercept is 5: this means the only factor in the numerator is (x-5). However, since the numerator and denominator have to have the same number of factors, the numerator needs to have two factors of (x-5).
We know the factors that are required in both numerator and denominator; and we know the leading coefficients in the numerator and denominator have to be the same. That completely determines the function:

However, the y-intercept for this function (found by setting x=0) is 25/-9 = -25/9; the problem states that the y-intercept is -5/9.
We could get a y-intercept of -5/9 by adding a factor of 5 in the denominator:

But then the horizontal asymptote would be y=1/5 -- not y=1, as required.
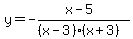
Alternatively, note that if the function were, instead,

then the y-intercept would be -5/9, as required. But then the horizontal asymptote would be y=0, because the degree of the numerator is less than the degree of the denominator.
So, in summary, there are too many requirements specified for the function; there is no rational function that meets all of the specified conditions.
|
|
|
| |