SOLUTION: Find the shortest distance from the given point (5,0) to the given line y=0.5x+5

Algebra ->  Length-and-distance -> SOLUTION: Find the shortest distance from the given point (5,0) to the given line y=0.5x+5      Log On


   



Question 1137655: Find the shortest distance from the given point (5,0) to the given line y=0.5x+5
Answer by ikleyn(52852) About Me  (Show Source):
You can put this solution on YOUR website!
.

You want to find the distance from the point (5,0) to the given straight line  0.5x - y + 5 = 0.


There is a remarkable formula which ideally suits for this need.


    Let the straight line in a coordinate plane is defined in terms of its linear equation 

         a*x + b*y + c = 0,

    where "a", "b" and "c" are real numbers, and let P = (x%5B0%5D,y%5B0%5D) be the point in the coordinate plane. 

    Then the distance from the point P to the straight line is equal to

        d = abs%28a%2Ax%5B0%5D+%2B+b%2Ay%5B0%5D+%2B+c%29%2Fsqrt%28a%5E2+%2B+b%5E2%29.


Regarding this formula, see the lesson
    The distance from a point to a straight line in a coordinate plane
in this site.


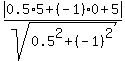
Substitute the given data  a= 0.5, b= -1, c= 5,  x%5B0%5D = 5,  y%5B0%5D= 0  into the formula to get the distance under the question


    abs%280.5%2A5+%2B+%28-1%29%2A0+%2B+5%29%2Fsqrt%280.5%5E2%2B%28-1%29%5E2%29 = 7.5%2F1.118 = 6.708.


Answer.  The distance under the question is 6.708 units.

Solved.