SOLUTION: With the terms (-3,4),(-2,5),(1,6) Graph f^-1 Find domain and range of f And domain and range of f^-1

Algebra ->  Rational-functions -> SOLUTION: With the terms (-3,4),(-2,5),(1,6) Graph f^-1 Find domain and range of f And domain and range of f^-1      Log On


   



Question 1136168: With the terms (-3,4),(-2,5),(1,6)
Graph f^-1
Find domain and range of f
And domain and range of f^-1

Answer by MathLover1(20850) About Me  (Show Source):
You can put this solution on YOUR website!
given: the terms (-3,4),(-2,5),(1,6)
first determine if 3 points lie in a line
if 3 points lie in a line the slope calculated taking 2 points at a time should be equal

slope=%28y%5B2%5D-y%5B1%5D%29%2F%28y%5B2%5D-y%5B1%5D%29....use (-3,4),(-2,5)

slope=%285-4%29%2F%28-2-%28-3%29%29
slope=%285-4%29%2F%28-2%2B3%29
slope=1..........1)

slope=%28y%5B2%5D-y%5B1%5D%29%2F%28y%5B2%5D-y%5B1%5D%29....use (-3,4),(1,6)
slope=%286-4%29%2F%281-%28-3%29%29
slope=2%2F%281%2B3%29
slope=1%2F2......2)
from 1) and 2) we can conclude that the 3 points are not in a line
second option is to see if quadratic equation is solution:

y=ax%5E2%2Bbx%2Bc
use given points and form a system

y=ax%5E2%2Bbx%2Bc..........(-3,4)
4=a%28-3%29%5E2%2Bb%28-3%29%2Bc
4=9a-3b%2Bc..........solve for c
c=4-9a%2B3b.........1)

y=ax%5E2%2Bbx%2Bc.........(-2,5)

5=a%28-2%29%5E2%2Bb%28-2%29%2Bc
5=4a-2b%2Bc
c=5-4a%2B2b.......2)

y=ax%5E2%2Bbx%2Bc........(1,6)
6=a%2A1%5E2%2Bb%2A1%2Bc
6=a%2Bb%2Bc
c=6-a-b............3)

from 1) and 2) we have

5-4a%2B2b=4-9a%2B3b.....solve for b
5-4a-4%2B9a=3b-2b
b=1%2B5a..........1a)

from 1) and 3) we have
6-a-b=4-9a%2B3b.....solve for b
6-a-4%2B9a=3b%2Bb
2%2B8a=4b
2%2F4%2B8a%2F4=b
b=1%2F2%2B2a.............1b)

from 1a) and 1b) we have
1%2B5a=1%2F2%2B2a....solve for a
5a-2a=1%2F2-1
3a=-1%2F2
a=-%281%2F2%29%2F3
highlight%28a=-1%2F6%29

go to b=1%2B5a..........1a) plug in a
b=1%2B5%28-1%2F6%29
b=1-5%2F6
b=6%2F6-5%2F6
highlight%28b=1%2F6%29

go to c=6-a-b............3) plug in a and b

c=6-%28-1%2F6%29-1%2F6
c=6%2B1%2F6-1%2F6...simplify
highlight%28c=6%29


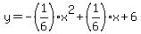
so, your equation is:

y=-%281%2F6%29x%5E2%2B%281%2F6%29x%2B6 or

f%28x%29=-%281%2F6%29x%5E2%2B%281%2F6%29x%2B6


find f%5E-1 :
y=-%281%2F6%29x%5E2%2B%281%2F6%29x%2B6..........swap x and y
x=-%281%2F6%29y%5E2%2B%281%2F6%29y%2B6...........solve for y
x-6=-%281%2F6%29y%5E2%2B%281%2F6%29y
x-6=-%281%2F6%29%28y%5E2-y%29
%28x-6%29%2F%28-1%2F6%29=y%5E2-y
-6+%28x+-+6%29=y%5E2-y......complete square for y
-6x+%2B36=%28y%5E2-y%2Bb%5E2%29-b%5E2
-6x+%2B36=%28y%5E2-y%2B%281%2F2%29%5E2%29-%281%2F2%29%5E2
-6x+%2B36=%28y-1%2F2%29%5E2-1%2F4
145%2F4+-+6x=%28y-1%2F2%29%5E2
145%2F4+-+24x%2F4=%28y-1%2F2%29%5E2
%28145+-+24x%29%2F4=%28y-1%2F2%29%5E2

sqrt%28%28145+-+24x%29%2F4%29=y-1%2F2
%281%2F2%29sqrt%28145+-+24x%29=y-1%2F2
y=%281%2F2%29sqrt%28145+-+24x%29%2B1%2F2

so, inverse is:
f%5E-1%281%2F2%29sqrt%28145+-+24x%29%2B1%2F2
f%5E-1%281%2F2%29sqrt%28145+-+24x%29%2B1%2F2



Find domain and range of f:

domain: R (all real numbers)
range: { y element R : y%3C=145%2F24 }

And domain and range of f^-1
exclude x that makes 145+-+24x=0
x%3C=145%2F24
domain: ( -infinity,145%2F24]
range:
R (all real numbers)