| 
 
 
| Question 1132067:  For the following set of data, find the coefficient of variance to the nearest tenth percent (13,5,6,8,1,6,5,4,12,5,6,4,8,4,4).
 
 email address:    donnadjsewfine65@gmail.com
 Answer by MathLover1(20850)
      (Show Source): 
You can put this solution on YOUR website! given set: 
  ,  ,  ,  ,  ,  ,  ,  ,  ,  ,  ,  ,  ,  ,   Mean:
 
   
   
   
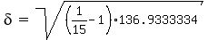
 Standard Deviation
 
   
 to make it simple first find the sum
 
   =
   
   
 
 
   
   
 
   
 
   
 Coefficient of Variance
 
   
   
   
 
 
 | 
  
 | 
 |