Question 1125238: Given: E(-2,3) F(-2,-2) G(3,-2) H(3,3)
Prove: EFGH is a rhombus
Answer by MathLover1(20850) (Show Source):
You can put this solution on YOUR website!
Ways to prove that a quadrilateral is a rhombus:
Show that it has four congruent sides. ( by definition of rhombus)
Given:
E( , )
F( , )
G( , )
H( , )
Prove: EFGH is a rhombus
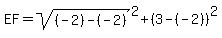
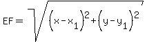
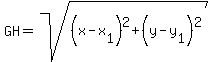
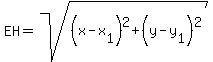
find distance between two points: , , , and
E( , )
F( , )




F( , )
G( , )





G( , )
H( , )




E( , )
H( , )




as you can see, all sides are same length which proves that a quadrilateral is a
|
|
|