without using a calculator simplify each of the following
a) 
Write 27 as 3³ and 64 as 4³
Remove the parentheses by multiplying each exponent inside the
parentheses by the
exponent outside the parentheses:
Move all the factors with negative exponents from numerator to
denominator -- and from denominator to numerator, making them
positive. Leave the a² in the denominator because it already
has a positive exponent.
Finally write 4² as 16 and 3² as 9
-------------------------------
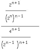
b) 
Change the 4 to 2²
Remove all the parentheses by multiplying inner and outer
exponents of 2:
Invert the second fraction and change the division to
multiplication:
Subtract exponents of 2 in each fraction:
Remove the parentheses in the exponents:
Combine like terms in the exponents:
Add exponents of 2:
Edwin