Question 1096881: To save for retirement karla harby put $650 each month into an ordinary annuity for 14 years. Interest was compounded monthly. At the end of the 14 years, the annuity was worth $154,986. What annual interest rate did she receive?
Please answer with Full Details.
Thank you
Answer by greenestamps(13206) (Show Source):
You can put this solution on YOUR website! The formula for the value P of an annuity with regular deposits of amount A, n times per year for t years, at an annual interest rate of r, is

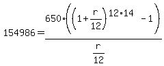
In your problem, we know A is 650, n is 12, and t is 14; we need to find r. The formula is

If you know the interest rate r and 3 of the other 4 numbers, you can calculate the missing number using the formula, or some form of it. But the interest rate r occurs in two different places in the formula, making it impossible to do a direct calculation to find the interest rate, if it is the unknown in the problem.
So all you can do is use some mathematical tool, like a graphing calculator, to find the answer. I used my TI-84 calculator to graph the two functions
and 
and used the intersection of the two graphs to find the monthly interest rate is 0.00398 = 0.398%, making the annual interest rate 0.04776 = 4.776%.
|
|
|