Question 1089163: convert the equation to standard for by completing the square on x. Then find the vertex, focus and directrix of the parabola. then graph
x^2+2x-8y-31=0
Answer by MathLover1(20850) (Show Source):
You can put this solution on YOUR website!
The "vertex" form of a parabola with its vertex at ( , ) is:
regular: 
sideways:
The conics form of the parabola equation (the one you'll find in advanced or older texts) is:
regular: 
sideways:
where the value of is actually the same as the value of
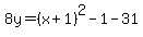
....since coefficients and , we have -> ->
=> and , and
the vertex is at ( , )
The focus is "p" units from the vertex:
,
so
then,
the focus is unit above the vertex, at ( , ),
and the directrix is the horizontal line , p or  below the vertex
|
|
|