Question 1080724: please help!!!
Find the equation for the tangent lines, and the normal lines, to the hyperbolas y^2/4-x^2/2=1 when x=4.
Answer by Fombitz(32388) (Show Source):
You can put this solution on YOUR website! The slope of the tangent line is equal to the value of the derivative at that point.


Implicitly differentiate,



So then,



and 
So for (4,6),

Using the point slope form of a line,



and for (4,-6)

and




To get the normal lines, you know that the tangent and normal lines are perpendicular to each other.
So the slopes are negative reciprocals,


and


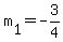
So then,
(4,6)

(4,-6)

I leave those to you to put into slope-intercept form.
.
.
.
.
|
|
|